Specialists in Linear Flow Analysis
Home
»
Test Cases
»
3D SC10
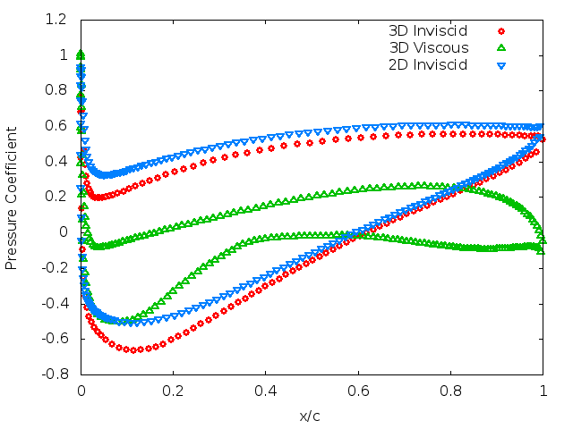
» Steady-state Pressure Coefficient r/h = 0.1
3D Standard Configuration 10: Steady-state Solution r/h = 0.1
Home
Services
Licenses
Test Cases
Contact
About
New on RPMTurbo Website
Steam Turbine
Transonic Flutter Dip
3D Steam Turbine Flutter Test Case Updated
LUFT™: Software licences available